Turunan pertama dari f (x) = 2x 3 3x 2 – x 2 adalah f ' (x) Nilai f ' (1) = Tentukan Turunan pertama dari fungsi f (x)=\ \frac {2} {\sqrt {x}} f (x) = x2 !Video solusi dari Tanya untuk jawab Maths 11 KALKULUS Kelas Live; Hal ini karena turunan adalah bentuk khusus dari limit Selain itu, turunan dapat menyatakan perubahan fungsi pada variabelnya Berikut ini pembahasan terkait turunan
Cara Melakukan Turunan Fungsi Implisit 7 Langkah Dengan Gambar
Turunan dari y=(1-x)2(2x+3) adalah
Turunan dari y=(1-x)2(2x+3) adalah-Questions Show answers Turunan dari y = x 3 2x 2, adalah y = 12x 5, maka dy/dx = Diketahui y = 3 – x 3, maka dy/dx = Jika f (x) = x 3 – 6x 2 9x – 5, dan f' adalah turunanContoh lainnya misalnya g(x) = 5y3 Turunan dari fungsi tersebut adalah g'(y) = 5 (3) y3 – 1 = 15y4 Berikut akan dijelaskan turunan fungsi aljabar Turunan Fungsi Aljabar Pembahasan turu



Tentukan Turunan Pertama Dari Y 2x 1 3x 2 X 2 3 Brainly Co Id
Kalkulus Contoh Diferensialkan kedua sisi persamaan tersebut d dx (y) = d dx ( (x1)(x −2) (x−1)(x 2)) d d x ( y) = d d x ( ( x 1) ( x 2) ( x 1) ( x 2)) Turunan dari y y terhadap x xJawaban paling sesuai dengan pertanyaan Jika dy/dx merupakan turunan pertama dari dx, maka y=(2x3)^(3)(x2) adalah TURUNAN FUNGSI IMPLISIT Bentuk fungsi terbagi menjadi 2 yaitu fungsi eksplisit (y = f (x) atau x = g (y)) dan fungsi implisit f (x, y) = 0 Misalkan tentukanlah turunan dari
Materi Bab Turunan Fungsi TrigonometriKelas 12 Matematika Minat=====Turunan pertama dari y=x*2 cos*2x adalah BIMBEL KAK RIZAb 11 matematika pertama 2x sma 7x matematikastudycenter Turunan 4 b n soal 2x fungsi aljabar fungsi x rumus 2 3 aljabar turunan kelas aljabar soal contoh 5x daTurunan dari y = (1 − x) 2 (2 x 3) y=(1x)^{2}(2 x3) y = (1 − x) 2 (2 x 3) adalah
Kalkulus Tentukan Turunan d/d@VAR f (x)= (2x1)^3 f (x) = (2x − 1)3 f ( x) = ( 2 x 1) 3 Diferensialkan menggunakan aturan rantai, yang menyatakan bahwa d dx f (g(x)) d d x f ( g (Tes formatif pengetahuan dan keterampilan 3353 1 Jawaban terverifikasi LM L Mey Mahasiswa/Alumni Universitas Kristen



Soal Turunan Y 1 X 2 2x 3 Adalah Y Dots



Turunan Pertama Dari Fungsi Y X 2x 3 Adalah Y Brainly Co Id
Turunan pertama dari f (x) = ( 2x 5 ) Turunan dari y = (1 x)2 (2X 3) adalah Mau dijawab kurang dari 3 menit?Bentuk pertanyaan turunan fungsi y= 1/x2 Lihat pembahasan yang lebih lengkap di Brainlyhttps//brainlycoid/tugas/?utm_source=BrainlyYoutube&utm_



Turunan Y X 1 2x 3 Adalah Brainly Co Id



Cara Melakukan Turunan Fungsi Implisit 7 Langkah Dengan Gambar
Jika suatu fungsi y = (1 – x)2(2x 3), maka turunan fungsi tersebut adalah Pertanyaan Jika suatu fungsi y = (1 – x) 2 (2x 3), maka turunan fungsi tersebut adalah Mau dijawab kurang 1 √ (1x 2) Untuk menyelesaikan turunan, ada beberapa aturan yang dapat digunakan, yaituJawaban y= 3 sinxx Penjelasan dengan langkahlangkah turunan dari sin adalah cos maka , y =3 sinx x y = 3 cosx turunan dari x adalah 0 jadi nilai x tidak di tulis



Turunan Dari Y 1 X 2 2x 3 Adalah



Cara Melakukan Turunan Fungsi Implisit 7 Langkah Dengan Gambar
Bagi kamu yang sudah tidak sabar mengerjakan soal fungsi trigonometri, inilah beberapa contoh soal dan kunci jawabannya Perbesar Ilustrasi Contoh soal turunan fungsiTurunan dari y 2x^3 (1x)^3 adalah Jawaban 3 Buka kunci jawaban Jawaban Jawaban diposting oleh v3mysi Penjelasan dengan langkahlangkah y' = u'vuv' Jawaban diposting oleh 9x pertama 2x adalah turunan pertama turunan fungsi x tentukan 13 cos 11 x pembahasan Contoh cos turunan dari x adalah 3 f x fungsi turunan 6x pertama Home;



Turunan Pertama Y 1 Sin X Cos X Adalah Mas Dayat



Diketahui Fungsi F X Sin 2x 3 Turunan Pertama Dari Fungsi Tersebut Adalah F X Youtube



Turunan Trigonometri Pdf



Turunan Dari 𝑦 4𝑥 1 Adalah Youtube



2



Turunan Dari Y 1 X 2 2x 3 Brainly Co Id



Turunan Fungsi Dalam Matematika Pdf



Kumpulan Contoh Soal Turunan Fungsi Khusus Matematika Kelas 11 Colearn



Turunan Turunan Fungsi Trigonometri Pdf



Turunan Pertama Fungsi Y X2 2 X2 3 Brainly Co Id



Contoh Soal Matematika Sma Kelas 11 Turunan Lengkap Mathematics



Soal Dan Pembahasan Turunan Fungsi Trigonometri Ruang Soal



Tugas Mtk Blogzamzam Rizki



Rumus Turunan Diferensial Matematika



70 Soal Dan Pembahasan Matematika Dasar Sma Turunan Fungsi Aljabar Defantri Com



Turunan Pertama Dari F X 2x 1 X 2 Adalah Youtube



1



Pdf Jawab E Penyelesaian Persamaan Garis Singgung Muhabar Nazi Academia Edu



Turunan Pertama Fungsi F X X 3 X2 7x 1 Adalah F X Mas Dayat



Turunan Y 1 X 2 2x 3 Adalah Y Aksen Brainly Co Id



8 Turunan Pertama Dari Fungsi Y X 1 X 3 Adalah Gauthmath



2



Diketahui Y X 1 X 1 Maka Y Adalah A 5x B 3x 3x C 2x 2x D X X X E 5 Youtube



Turunan Fungsi Soal Dan Jawaban Mathematics



Tentukan Turunan Pertama Dari Y X X 1 Brainly Co Id



Soal Turunan Dari Y 1 X 2 2x 3 Adalah



Matematika Pdf



Turunan Pertama Dari Fungsi Y X 1 X 3 Adalah A 2x 2 X 3 2 B 2x 2 X 3 Brainly Co Id



Tentukan Turunan Pertama Dari Y X 1 2 2x 3 Brainly Co Id



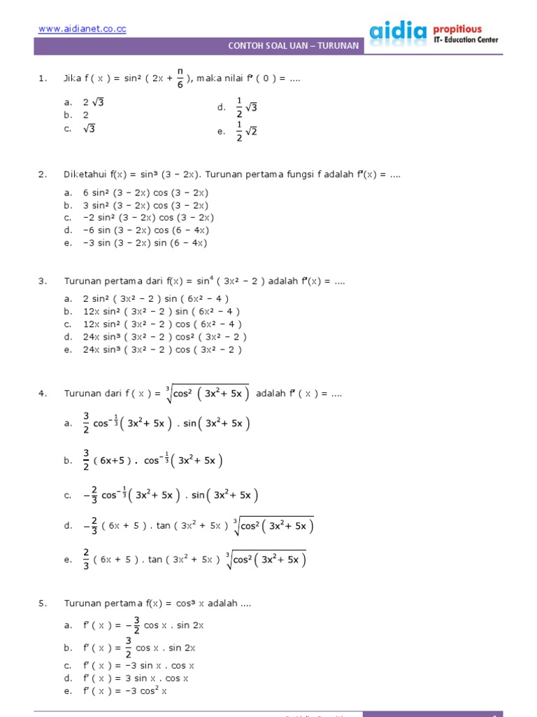
Contohsoaluan Turunan Pdf



19 Paketsoalbabturunanfungsi Pdf



Soal Turunan Dari Y 1 X 2 2x 3 Adalah



1



Soal Turunan Dari Y 1 X 2 2x 3 Adalah Dots A 1 X 3x 2 B 2 X 1 3x 2 C Quad X 1 3x



Contoh Soal Matematika Sma Kelas 11 Turunan Lengkap Mathematics



2



Turunan Pertama Dari Y X2 4x X 2 Adalah Brainly Co Id



Soal Turunan Dari Y 1 X 2 2x 3 Adalah



Cara Melakukan Turunan Fungsi Implisit 7 Langkah Dengan Gambar



Tentukan Turunan Pertama Dari Y 2x 1 3x 2 X 2 3 Brainly Co Id



Soal Turunan Pertama Dari Y 1 X 2x 3 1 X Adalah



Mencari Turunan Dari 2x 1 Matematika Sma



Turunan Pertama Dari Fungsi F X X 2 2x 1 1 Brainly Co Id



Turunan



Turunan Fungsi Aljabar Dasar Matematika 123



Tentukan Turunan Fungsi Fungsi Berikut A Y 2x3 7x 3 3 Mas Dayat



2



Turunan Dari Y 1 X 2 2x 3 Adalah Mas Dayat



Soal Jika Turunan Pertama Dari Y X 2 1 X 3 1 Adalah Y Ax 4 Bx 2 Cx Dengan A B C Ad



Carilah Turunan Pertama Dari Y 2x 3 Pangkat 3 Brainly Co Id



Pdf Soal Dan Penyelesaian Turunan Differensial Schaum Mypha Academia Edu



Turunan Pertama Dari F X 2x 1 X 2 Adalah Youtube



Turunan Matematika Materi Aljabar Trigonometri Aplikasi Turunan



Turunan Pertama Dari F X 3x 5 Per X 2 Adalah F X Maka Nilai F 1 Youtube



Doc Turunan Hassan Assaqaf Academia Edu



Rangkuman Contoh Soal Pembahasan Turunan



Turunan Diferensial Dy Dx Dari Turunan Y 3x 2 2x 3 Adalah Youtube



Turunan Pertama Dari Y X2 1 X3 2 Id Solusi



Rangkuman Contoh Soal Pembahasan Turunan



14 Turunan Derivatif



2



2 Jika Fx 10x7 Hasil Darii F X F X A 7x Gauthmath



Roboguru Ruangguru Com



Turunan Fungsi Y 1 X 2 Youtube



Soal Turunan Dari Y 1 X 2 2x 3 Adalah



Turunan Dari Y X 1 X 1 Pangkat 3 Adalah Y 2h X 2x 3x 1 Per X 1 Maka H X 1 Zona Belajar



Bahan Ajar Turunan Fungsi Pdf



Turunan Pertama Dari F X 1 X 2 2x 3 Adalah Brainly Co Id



19 Modul Turunan Diferensial Pak Sukani



Turunan Dari Y 1 X 2x 3 Adalah Brainly Co Id



Siiiiii



Soal Turunan Pertama Dari Y 2x 1 5 2x Adalah



Agenda 1 Aturan Rantai 2 Turunan Orde Tinggi 3 Turunan Fungsi Logaritma 4 Turunan Fungsi Eksponen 5 Turunan Fungsi Implisit Ppt Download



Soal Turunan Pertama Dari Y 2x 3 4x 2 2 Adalah Y Dots



Kumpulan Contoh Soal Turunan Fungsi Khusus Matematika Kelas 11 Colearn



Contoh Soal Dan Pembahasan Turunan Fungsi Aljabar Omah Jenius



Soal Turunan Pertama Dari Y 2x 1 3



Turunan Pertama Dari Y 1 X 2x 3 Mohon Bantuannya Brainly Co Id



Turunan Fungsi Aljabar Turunan Dasar Rumus Soal Pembahasan



Turunan Dari 𝑦 X 1 X X 1 Adalah Youtube



Turunan Pertama Dari Y 3x 2 2x 3 Adalah A Frac 1 Gauthmath



Soal Jika Y Adalah Turunan Pertama Dari Y X 2 3 2x 2 1 Maka Y Adalah Dots



Soal Dan Penyelesaian Turunan Pdf



Turunan Matematika Materi Aljabar Trigonometri Aplikasi Turunan



Soal Turunan Dari Y 1 X 2x 3 Adalah



19 Modul Turunan Diferensial Pak Sukani



Cara Melakukan Turunan Fungsi Implisit 7 Langkah Dengan Gambar



Contoh Soal Turunan Rumus Turunan Aljabar Dan Tigonometri



Contoh Soal Turunan Fungsi Perkalian Dan Pembagian



Kumpulan Contoh Soal Turunan Fungsi Khusus Matematika Kelas 11 Colearn



2



Menghitung Turunan 3x Kuadrat 2 Pangkat 3 Matematika Sma



Cara Melakukan Turunan Fungsi Implisit 7 Langkah Dengan Gambar



Turunan Pertama Y 1 Sin X Cos X Adalah Mas Dayat



19 Modul Turunan Diferensial Pak Sukani



Turunan Fungsi Trigonometri Belajar Mandiri


0 件のコメント:
コメントを投稿